隨著氫能產業的快速發展,儲氫氣瓶作為氫氣儲存和運輸的關鍵設備,其安全性和密封性至關重要。真空艙法氦泄漏氣密試驗是檢測儲氫氣瓶密封性能的重要手段之一。然而,在實際試驗過程中,由于多種因素的影響,可能會出現一些問題,影響試驗結果的準確性和可靠性。
— 01 —
真空氣密試驗原理
真空艙法氣密試驗基于氦氣分子小、穿透力強且易于檢測的特性。向置于真空艙內的儲氫瓶內充入體積分數X的氦氮混合氣至公稱工作壓力。若儲氫瓶存在泄漏點,氦氣會透過泄漏處逸散至真空艙中。通過高精度的氦質譜檢漏儀檢測真空艙內氦氣漏率,便可判斷儲氫瓶的氣密性是否滿足標準要求。
— 02 —
試驗設備

真空艙:用于容納儲氫氣瓶,并提供真空環境。
氦氣質譜檢漏儀:用于檢測真空艙內氦氣的漏率。
氣體充注裝置:用于向儲氫氣瓶內充注氦氮混合氣
壓力變送器:用于監測儲氫氣瓶內的壓力
— 03 —
試驗流程

— 04 —
合格判定依據

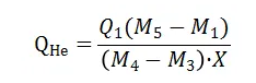
式中:QHe 儀器檢測出的氦氣漏率
Q1 滲透型標準漏孔漏率
M1 真空艙法初始校準,標準漏孔打開時的背景讀數
M3 真空艙法最終校準,標準漏孔關閉時的氦質譜儀讀數
M4 真空艙法最終校準,標準漏孔開啟至輸出信號穩定時的氦質譜儀讀數
M5 真空艙法檢測時,氦質譜儀讀數
X 氦氮混合氣中氦氣的體積分數,%
合格的儲氫氣瓶氫氣漏率應小于或等于6mL/(h·L),試驗測得氦氣漏率后,通過泄漏轉換系數得出受試氣瓶的氫氣漏率用以判定其氣密性是否合格。
— 05 —
常見問題及注意事項
在實際試驗過程中,M5作為檢測關鍵參數易受到一系列因素影響。其中常見問題有:
氦氣充注不足

真空艙泄漏

氦質譜儀故障

儲氫氣瓶表面污染

— 06 —
總結
真空艙法氦泄漏氣密試驗是檢測儲氫氣瓶密封性能的有效方法,但在試驗過程中可能會出現氦氣充注不足、真空艙泄漏、氦質譜檢漏儀故障、儲氫氣瓶表面污染等問題。通過采取相應的注意事項和解決措施,可以有效地提高試驗結果的準確性和可靠性,為儲氫氣瓶的安全使用提供保障。